Wir brauchen Ihre Unterstützung — Jetzt Mitglied werden! Weitere Infos

Die Parteien sind bei der Sozialhilfe für Ausländer freigiebiger als ihre Wähler

Eine neue Untersuchung lässt einen spannenden Abstimmungskampf zu den EU-Verträgen erwarten.

Die Parteien sind bei der Sozialhilfe für Ausländer freigiebiger als ihre Wähler
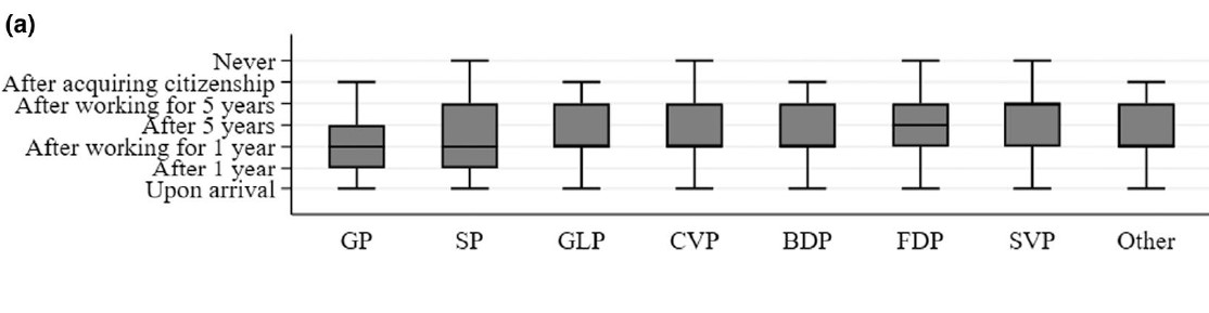
Die Positionierung von Schweizer Stimmbürgern bezüglich der Frage, wann deutsche Einwanderer Anspruch auf Sozialhilfe erhalten sollen, nach Parteipräferenz. Die grauen Kästen zeigen jeweils den Bereich, in dem die Hälfte der Antworten lagen, die dicke Linie markiert den Median. Bild: Gago, Chueri, Gandenberger 2025.

Der Zugang von Einwanderern zum Sozialstaat löst hitzige Diskussionen aus – aktuell im Kontext des neuen Vertragspakets zwischen der Schweiz und der EU. Mit diesem würde die Eidgenossenschaft auch die Unionsbürgerrichtlinie teilweise übernehmen, womit EU-Bürger künftig nach fünf Jahren eine definitive Niederlassungsbewilligung erhalten würden. Diese ist zwar an eine Erwerbstätigkeit gekoppelt, doch gelten auch Arbeitslose und Sozialhilfebezüger eine Zeitlang noch als erwerbstätig, womit die für das Niederlassungsrecht nötige Dauer der Arbeitstätigkeit faktisch auf dreieinhalb Jahre sinkt. Danach hat ein Zuwanderer unbeschränkt Zugang zu Sozialleistungen.

Interessant ist in diesem Zusammenhang eine Untersuchung, die jüngst in der Zeitschrift Swiss Political Science Review erschienen ist. Die Politikwissenschafterinnen Angie Gago, Juliana Chueri und Mia Gandenberger wollten wissen, wie die Schweizer Stimmberechtigten den Zugang zum Sozialstaat für Einwanderer handhaben wollen und wie das mit ihrer Parteipräferenz zusammenhängt. Sie führten dazu eine Online-Umfrage mit 733 Bürgern durch, in der sie unter anderem fragten, wann Einwanderer aus der EU Anrecht auf Sozialhilfe bekommen sollten. Zur Auswahl standen sieben Antwortmöglichkeiten, die von «direkt nach der Ankunft» über «nach einjähriger Erwerbstätigkeit» (was dem heutigen Recht entspricht) bis «nie» reichten.

Solche Umfragen sind mit Vorsicht zu geniessen, da die Antworten tendenziell auch davon abhängen, welche Optionen zur Auswahl stehen. Die Ergebnisse sind dennoch interessant: Gemäss der Studie wollen die Bürger den Zugang zu Sozialhilfe für Ausländer stärker einschränken als die Parteien, die sie wählen. So befürwortet eine Mehrheit der FDP-Wähler, dass Einwanderer aus der EU mindestens fünf Jahre in der Schweiz gelebt haben müssen, bevor sie Zugang zu Sozialhilfe erhalten – während die Partei die geltende Bedingung einer einjährigen Erwerbstätigkeit befürwortet.

Die Forscherinnen untersuchten auch, ob die Nationalität der Einwanderer einen Unterschied macht, indem sie spezifisch nach dem Zugang zu Sozialhilfe für Deutsche, Spanier und Bulgaren fragten. Die Antworten variierten nicht stark; einzig bei den Bulgaren zeigte sich im Allgemeinen eine etwas grössere Skepsis.

Schliesslich geht die Studie der Frage nach, ob die Bürger einer Partei aufgrund der Frage des Zugangs zur Sozialhilfe für Einwanderer ihre Stimme geben. Ein signifikanter negativer Effekt zeigt sich bei SP und Grünen (d.h. wer Einschränkungen befürwortet, wählt seltener diese Parteien), ein positiver Effekt bei SVP und (in geringerem Mass) FDP.

Die Ergebnisse der Studie lassen einen spannenden Abstimmungskampf erwarten. Gespannt sein darf man insbesondere darauf, wie sich die Freisinnigen positionieren: Sie befürworten den Zugang der Schweiz zum EU-Binnenmarkt, nicht aber den Zugang von EU-Einwanderern zum Schweizer Sozialstaat. Wie sich die FDP in diesem Zielkonflikt entscheidet, dürfte wegweisend sein. Nicht nur für die Schweizer Europapolitik, sondern für die Zukunft der Partei. (Lukas Leuzinger)

»
Abonnieren Sie unseren
kostenlosen Newsletter!